Guia dos Elementos

Ir para site da Quimlab

Meitnério - Mt

meitnerio meitnerio
aplicações/informações
meitnerio meitnerio
Clique nas imagens para ampliar.

Apresentação

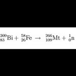
O nome do elemento foi dado em homenagem a Lise Maitneir, física nascida na Austria que primeiramente sugeriu a frissão nuclear espontânea. Foi descoberto por P. Ambruster, G. Münzenberg e colaboradores em 1982, em Damstadt na Alemanha. O Meitnerio pode ser obtido pelo bombardeamento do Bi-209 com íons de Fe-58. Dos 9 isótopos conhecidos o que possui meia vida mais longa é o Mt-276 com 0,72s.

<< Voltar
Criação & Design: Estúdio Marambaia