Tabela Periódica - Guia dos Elementos

Ir para site da Quimlab

Dubnio - Db

dubnio dubnio
aplicações/informações
dubnio dubnio
Clique nas imagens para ampliar.

Apresentação

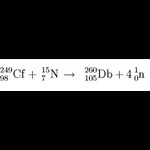
O nome do elemento foi dado em homenagem a cidade de Dubnia, Rússia. Foi descoberto em 1967 no Joint Nuclear Research Institute de Dubnia, Rússia. sua produção foi realizada por bombardeamento do Am-243 com íons de neônio. Poucos átomos foram obtidos até o momento e dos sete isótopos conhecidos o de meia vida mais longa é o Db-262 com 34 segundos.

<< Voltar
Criação & Design: Estúdio Marambaia